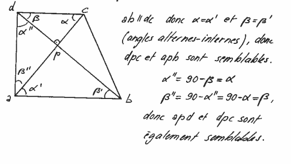
Exercice 25

\(ABCD\) est un trapèze rectangle en \(A\) et en \(D\). Ses diagonales se coupent à angle droit en \(P\). Montrer que les triangles \(APB\), \(DPA\) et \(CPD\) sont semblables.

Réponse

image-20250310122200439
image-20250306144140579
En haut

Acceptez-vous que toute votre activité sur le site soit enregistrée à des fins d'amélioration et que des données soient stockées sur votre appareil (cookies) ?


Fermer