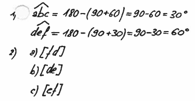
Exercice 5

  1. Montrer que les angles correspondants des triangles \(ABC\) et \(FDE\) sont égaux.

  1. Quel est le côté du triangle \(FDE\) correspondant à
    1. \(AB\) ?
    2. \(BC\) ?
    3. \(AC\) ?

Réponse

image-20250327130519326
image-20250306143940673
En haut

Acceptez-vous que toute votre activité sur le site soit enregistrée à des fins d'amélioration et que des données soient stockées sur votre appareil (cookies) ?


Fermer