Exercice 34

On considère les fonctions suivantes définies sur \(\mathbb{R}\) :

  1. \(f(x) = -\dfrac{2}{3} x\)

  2. \(g(x) = \dfrac{13 - 2x}{3}\)

  3. \(h(x) = \dfrac{3 - 2x}{3} - 1\)

  4. \(k(x) = \dfrac{3x + 13}{2}\)

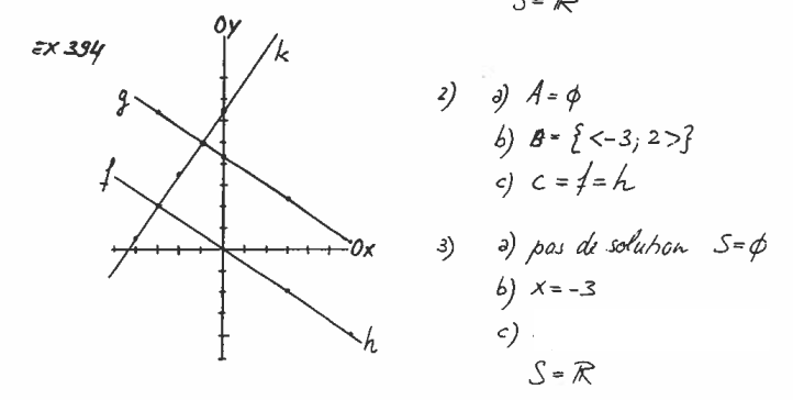
  5. Représentez graphiquement ces quatre fonctions dans un même système de coordonnées.

  6. À partir de cette représentation, résolvez les équations suivantes :

    1. \(-\dfrac{2}{3} x = \dfrac{13 - 2x}{3}\)

    2. \(\dfrac{3x + 13}{2} = -\dfrac{2}{3} x\)

    3. \(-\dfrac{2}{3} x = \dfrac{3 - 2x}{3} - 1\)

Réponse

image-20250310115847510
  1. Aucune solution
  2. x = –3
  3. Toute valeur de x est solution (ℝ)

Corrigé détaillé

Nous avons quatre fonctions définies par :

  • f(x) = –(2/3)x
  • g(x) = (13 – 2x)/3
  • h(x) = (3 – 2x)/3 – 1
  • k(x) = (3x + 13)/2

On vous demande de tracer ces quatre fonctions dans le même repère, puis, à partir de ce graphique, de résoudre trois équations obtenues en égalant certaines de ces fonctions. Même si la représentation graphique permet de visualiser les intersections, nous allons ici résoudre algébriquement chacune des équations.

────────────────────────────
1. Représentation graphique

Pour représenter ces fonctions, vous pouvez suivre ces indications :

• Pour f(x) = –(2/3)x :
 – C’est une droite passant par l’origine (0, 0) de pente –2/3.
 – Par exemple, pour x = 3, f(3) = –2; pour x = –3, f(–3) = 2.

• Pour g(x) = (13 – 2x)/3 :
 – On peut écrire cette fonction sous la forme g(x) = –(2/3)x + 13/3.
 – Il s’agit d’une droite de pente –2/3 et d’ordonnée à l’origine 13/3 (environ 4,33).

• Pour h(x) = (3 – 2x)/3 – 1 :
 – On effectue d’abord la soustraction : h(x) = (3 – 2x – 3)/3 = –(2/3)x.
 – Ainsi h(x) = –(2/3)x, qui est identique à f(x).

• Pour k(x) = (3x + 13)/2 :
 – Cette fonction est une droite de pente 3/2 et d’ordonnée à l’origine 13/2 (soit 6,5).

Sur un même repère, vous remarquerez que f(x) et h(x) correspondent exactement à la même droite.

────────────────────────────
2. Résolution des équations

Nous allons maintenant résoudre chacune des équations données, en expliquant chaque étape.

────────────────────────────
a) Équation : –(2/3)x = (13 – 2x)/3

Étape 1 : Multipliez chaque côté de l’équation par 3 pour éliminer le dénominateur.

  –2x = 13 – 2x

Étape 2 : Regroupons les termes en x.

 Ajoutons 2x de chaque côté :   –2x + 2x = 13 – 2x + 2x
  0 = 13

Cette égalité est impossible, car 0 n’est pas égal à 13.
Conclusion : L’équation n’admet aucune solution.

────────────────────────────
b) Équation : (3x + 13)/2 = –(2/3)x

Étape 1 : Pour se débarrasser des dénominateurs, trouvez un dénominateur commun. Ici, le plus petit commun multiple de 2 et 3 est 6. Multipliez l’équation par 6 :

 6 × [(3x + 13)/2] = 6 × [–(2/3)x]

 Ce qui donne :   3(3x + 13) = –4x

Étape 2 : Développons le membre de gauche.

 3 × 3x = 9x
 3 × 13 = 39
 Donne : 9x + 39 = –4x

Étape 3 : Regroupons les termes en x.

 Ajoutons 4x de chaque côté :   9x + 4x + 39 = 0   13x + 39 = 0

Étape 4 : Isolez x.

 13x = –39
 x = –39/13
 x = –3

Conclusion : La solution de l’équation est x = –3.

────────────────────────────
c) Équation : –(2/3)x = (3 – 2x)/3 – 1

Étape 1 : Simplifions le membre de droite.
Nous avons :  (3 – 2x)/3 – 1

Pour combiner les termes, écrivez 1 sous forme de fraction ayant pour dénominateur 3 :  1 = 3/3
Donc :  (3 – 2x)/3 – 3/3 = (3 – 2x – 3)/3 = –2x/3

L’équation devient alors :  –(2/3)x = –(2/3)x

Étape 2 : Les deux côtés de l’équation sont identiques, ce qui signifie que l’égalité est vérifiée pour toute valeur de x.

Conclusion : L’équation est vraie quel que soit x, c’est-à-dire que l’ensemble des solutions est ℝ (tous les réels).

────────────────────────────
Récapitulatif des solutions

 a) –(2/3)x = (13 – 2x)/3  →  Aucune solution
 b) (3x + 13)/2 = –(2/3)x  →  x = –3
 c) –(2/3)x = (3 – 2x)/3 – 1  →  Tout x ∈ ℝ

────────────────────────────
Conclusion

En traçant les droites correspondantes aux fonctions f, g, h et k sur un même repère, nous pouvons observer que f(x) et h(x) se superposent (même droite). Les intersections observées graphically correspondent aux solutions que nous avons trouvées :

 • Aucune intersection entre la droite f(x) (ou h(x)) et g(x) pour l’équation a),
 • Une intersection en x = –3 entre la droite représentée par k(x) et f(x) pour l’équation b),
 • La droite f(x) coïncide totalement avec h(x) pour l’équation c), donnant une infinité de points d’intersection (toutes les valeurs de x sont solutions).

Ainsi, la démarche algébrique nous permet de confirmer les observations que l’on peut faire à partir du graphique.

En haut

Acceptez-vous que toute votre activité sur le site soit enregistrée à des fins d'amélioration et que des données soient stockées sur votre appareil (cookies) ?


Fermer