Exercice 32

Placez les points \(A(3, 10)\) et \(B(9, 2)\) dans un même système de coordonnées.

  1. Trouvez graphiquement les coordonnées du sommet \(C\) du triangle isocèle \(ABC\) (\(AC = BC\)), sachant que le point \(C\) est sur l’axe des abscisses.

  2. Donnez la pente, l’ordonnée à l’origine et l’équation de la droite \(AC\).

Réponse

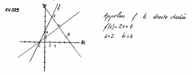
image-20250306152645820
  1. C(–2, 0)

  2. Sur la droite AC, la pente est 2, l’ordonnée à l’origine est 4 et son équation est y = 2x + 4.

Corrigé détaillé

Nous avons deux points A(3, 10) et B(9, 2). Nous souhaitons déterminer deux éléments :

────────────────────────────── 1. Coordonnées du sommet C d’un triangle isocèle (AC = BC) dont le point C se trouve sur l’axe des abscisses.

Puisque C est sur l’axe des abscisses, ses coordonnées sont de la forme C(x, 0).

Pour que le triangle ABC soit isocèle avec AC = BC, la distance entre A et C doit être égale à la distance entre B et C. Nous écrivons donc :

  Distance AC = Distance BC

En utilisant la formule de la distance, nous avons :

  √[(x – 3)² + (0 – 10)²] = √[(x – 9)² + (0 – 2)²]

Pour se simplifier la vie, nous élevons les deux côtés au carré :

  (x – 3)² + 10² = (x – 9)² + 2²

Calculons les carrés et développons :

  (x – 3)² + 100 = (x – 9)² + 4

Développons les deux carrés :   (x – 3)² = x² – 6x + 9   (x – 9)² = x² – 18x + 81

Substituons dans l’équation :

  x² – 6x + 9 + 100 = x² – 18x + 81 + 4

Ce qui donne :

  x² – 6x + 109 = x² – 18x + 85

Pour éliminer les x², soustrayons x² des deux côtés :

  –6x + 109 = –18x + 85

Pour isoler x, ajoutons 18x à chaque côté :

  12x + 109 = 85

Puis, soustrayons 109 de chaque côté :

  12x = 85 – 109   12x = –24

Divisons ensuite par 12 :

  x = –24 / 12   x = –2

Nous avons ainsi trouvé les coordonnées du point C :

  C(–2, 0)

────────────────────────────── 2. Pente, ordonnée à l’origine et équation de la droite AC

Nous connaissons maintenant les points A(3, 10) et C(–2, 0) qui déterminent la droite AC.

  1. Calcul de la pente (m)

La formule de la pente entre deux points (x₁, y₁) et (x₂, y₂) est :

  m = (y₂ – y₁) / (x₂ – x₁)

En attribuant A(3, 10) comme (x₁, y₁) et C(–2, 0) comme (x₂, y₂) :

  m = (0 – 10) / (–2 – 3)    = (–10) / (–5)    = 2

La pente de la droite AC est donc 2.

  1. Calcul de l’ordonnée à l’origine (b)

L’équation d’une droite est de la forme y = mx + b. Nous connaissons m = 2 et nous pouvons utiliser l’un des points, par exemple A(3, 10) :

  10 = 2 × 3 + b   10 = 6 + b

Pour trouver b, soustrayons 6 de chaque côté :

  b = 10 – 6   b = 4

L’ordonnée à l’origine est donc 4.

  1. Écriture de l’équation de la droite AC

En remplaçant m et b dans l’équation y = mx + b, nous obtenons :

  y = 2x + 4

────────────────────────────── Conclusion :

  1. Le sommet C du triangle isocèle est C(–2, 0).

  2. La droite AC a pour pente 2, son ordonnée à l’origine est 4, et son équation est y = 2x + 4.

Cette démarche permet de visualiser et de comprendre comment, avec des calculs étape par étape, on peut déterminer les coordonnées d’un point ainsi que l’équation d’une droite dans le système de coordonnées.

En haut

Acceptez-vous que toute votre activité sur le site soit enregistrée à des fins d'amélioration et que des données soient stockées sur votre appareil (cookies) ?


Fermer