Exercice 31

Tracer dans un même système d’axes :

Donner la pente, l’ordonnée à l’origine et l’équation de chacune de ces deux droites.

Réponse

image-20250327122946809
image-20250306152628229

Les droites tracées sont :

Corrigé détaillé

Pour tracer les droites \(d_1\) et \(d_2\) dans un même système d’axes et déterminer leurs pentes, ordonnées à l’origine et équations, suivons les étapes ci-dessous.

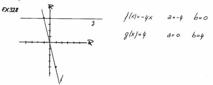
1. Droite \(d_1\) passant par l’origine et le point \(A(-1; 4)\)

a. Détermination de la pente de \(d_1\)

La pente \(m\) d’une droite passant par deux points \((x_1, y_1)\) et \((x_2, y_2)\) est donnée par la formule :

\[ m = \frac{y_2 - y_1}{x_2 - x_1} \]

Ici, les deux points sont l’origine \(O(0; 0)\) et \(A(-1; 4)\).

\[ m_{d_1} = \frac{4 - 0}{-1 - 0} = \frac{4}{-1} = -4 \]

b. Détermination de l’ordonnée à l’origine de \(d_1\)

Puisque la droite \(d_1\) passe par l’origine, l’ordonnée à l’origine \(b\) est \(0\).

\[ b_{d_1} = 0 \]

c. Équation de la droite \(d_1\)

L’équation d’une droite se présente sous la forme :

\[ y = m x + b \]

En remplaçant \(m\) et \(b\) par leurs valeurs respectives :

\[ y = -4x + 0 \quad \text{ou simplement} \quad y = -4x \]

2. Droite \(d_2\) passant par les points \(B(-4; 4)\) et \(C(1000; 4)\)

a. Détermination de la pente de \(d_2\)

Utilisons la même formule pour la pente \(m\) :

\[ m = \frac{y_2 - y_1}{x_2 - x_1} \]

Les points considérés sont \(B(-4; 4)\) et \(C(1000; 4)\).

\[ m_{d_2} = \frac{4 - 4}{1000 - (-4)} = \frac{0}{1004} = 0 \]

Une pente de \(0\) indique que la droite est horizontale.

b. Détermination de l’ordonnée à l’origine de \(d_2\)

Puisque la pente est \(0\) et que la droite est horizontale, l’ordonnée à l’origine correspond à la valeur constante de \(y\).

\[ b_{d_2} = 4 \]

c. Équation de la droite \(d_2\)

Avec une pente de \(0\) et une ordonnée à l’origine de \(4\), l’équation de \(d_2\) est :

\[ y = 0 \cdot x + 4 \quad \text{ou simplement} \quad y = 4 \]

3. Résumé des résultats

Droite Pente (\(m\)) Ordonnée à l’origine (\(b\)) Équation
\(d_1\) \(-4\) \(0\) \(y = -4x\)
\(d_2\) \(0\) \(4\) \(y = 4\)

4. Tracé des droites \(d_1\) et \(d_2\)

Pour tracer ces droites dans un même système d’axes :

  1. Droite \(d_1\) :
    • Passe par l’origine \(O(0; 0)\).
    • Passe par le point \(A(-1; 4)\).
    • Tracez une ligne droite passant par ces deux points avec une pente descendante de \(-4\).
  2. Droite \(d_2\) :
    • Passe par les points \(B(-4; 4)\) et \(C(1000; 4)\).
    • Tracez une ligne horizontale située au niveau de \(y = 4\).

Les deux droites seront tracées sur le même plan cartésien, illustrant visuellement leurs équations respectives.

En haut

Acceptez-vous que toute votre activité sur le site soit enregistrée à des fins d'amélioration et que des données soient stockées sur votre appareil (cookies) ?


Fermer