Exercice 29

Tracer sur un même système d’axes les droites \(d_{1}\), \(d_{2}\) et \(d_{3}\), sachant que :

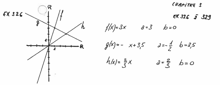
Donnez la pente, l’ordonnée à l’origine et l’équation de chacune des trois droites.

Réponse

image-20250327122929261
image-20250306152603120

Résumé des équations des droites :

Corrigé détaillé

Correction détaillée

Nous allons déterminer les équations des droites \(d_{1}\), \(d_{2}\) et \(d_{3}\) en utilisant les points par lesquels elles passent. Pour chaque droite, nous calculerons la pente, l’ordonnée à l’origine et enfin, l’équation de la droite.

1. Droite \(d_{1}\)

Points connus : - \((0, 0)\) (origine) - \((1, 3)\)

a. Calcul de la pente \(m\) :

La pente d’une droite passant par deux points \((x_{1}, y_{1})\) et \((x_{2}, y_{2})\) est donnée par la formule : \[ m = \frac{y_{2} - y_{1}}{x_{2} - x_{1}} \]

Appliquons-la pour \(d_{1}\) : \[ m = \frac{3 - 0}{1 - 0} = \frac{3}{1} = 3 \]

b. Ordonnée à l’origine \(b\) :

L’ordonnée à l’origine est le point où la droite coupe l’axe des ordonnées (\(y\)-axe), c’est-à-dire lorsque \(x = 0\).

Comme \(d_{1}\) passe par l’origine \((0, 0)\), l’ordonnée à l’origine est : \[ b = 0 \]

c. Équation de la droite \(d_{1}\):

L’équation d’une droite est de la forme : \[ y = m x + b \]

En remplaçant \(m\) et \(b\) : \[ y = 3x + 0 \quad \text{ou simplement} \quad y = 3x \]

2. Droite \(d_{2}\)

Points connus : - \((1, 3)\) - \((3, 2)\)

a. Calcul de la pente \(m\) : \[ m = \frac{2 - 3}{3 - 1} = \frac{-1}{2} = -\frac{1}{2} \]

b. Ordonnée à l’origine \(b\) :

Utilisons l’un des points pour trouver \(b\). Prenons le point \((1, 3)\) : \[ y = m x + b \\ 3 = -\frac{1}{2} \times 1 + b \\ 3 = -\frac{1}{2} + b \\ b = 3 + \frac{1}{2} \\ b = \frac{7}{2} \]

c. Équation de la droite \(d_{2}\): \[ y = -\frac{1}{2}x + \frac{7}{2} \]

3. Droite \(d_{3}\)

Points connus : - \((0, 0)\) (origine) - \((3, 2)\)

a. Calcul de la pente \(m\) : \[ m = \frac{2 - 0}{3 - 0} = \frac{2}{3} \]

b. Ordonnée à l’origine \(b\) :

Comme \(d_{3}\) passe par l’origine \((0, 0)\), l’ordonnée à l’origine est : \[ b = 0 \]

c. Équation de la droite \(d_{3}\): \[ y = \frac{2}{3}x + 0 \quad \text{ou simplement} \quad y = \frac{2}{3}x \]

Résumé des équations des droites

Ainsi, nous avons déterminé les pentes, les ordonnées à l’origine et les équations des trois droites \(d_{1}\), \(d_{2}\) et \(d_{3}\) en utilisant les points donnés.

En haut

Acceptez-vous que toute votre activité sur le site soit enregistrée à des fins d'amélioration et que des données soient stockées sur votre appareil (cookies) ?


Fermer