Exercice 2

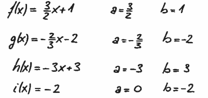
Donner la pente, l’ordonnée à l’origine et l’équation de chacune des droites ci-dessous :

Réponse

image-20250306132300105
En haut

Acceptez-vous que toute votre activité sur le site soit enregistrée à des fins d'amélioration et que des données soient stockées sur votre appareil (cookies) ?


Fermer