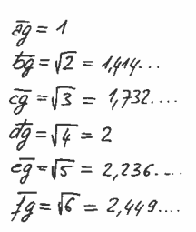
Sachant que \(\overline{A G}=\overline{A B}=\overline{B C}=\overline{C D}=\overline{D E}=\overline{E F}=1 \mathrm{~cm}\), calculez les longueurs suivantes :
\[ \overline{B G}, \overline{C G}, \overline{D G}, \overline{E G} \text{ et } \overline{F G} \]
