Exercice 2

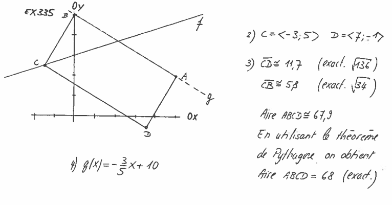
Placer dans un même système d’axes les points \(A(10 ; 4)\) et \(B(0 ; 10)\).

  1. Tracer la droite \(d\) d’équation \(y = \frac{1}{3}x + 6\).
  2. Déterminer graphiquement les coordonnées des sommets \(C\) et \(D\) du rectangle \(ABCD\), sachant que \(C\) est sur la droite \(d\).
  3. Effectuer les mesures nécessaires et calculer l’aire du rectangle \(ABCD\).
  4. Déterminer la pente, l’ordonnée à l’origine et l’équation de la droite \(AB\).

Réponse

image-20250327123019723
image-20250310115231314

Résumé de la correction :

  1. Placement des points :
    • \(A(10, 4)\) et \(B(0, 10)\) sont positionnés sur le système de coordonnées.
  2. Tracé de la droite \(d\) :
    • Équation : \(y = \frac{1}{3}x + 6\).
  3. Détermination des sommets du rectangle \(ABCD\) :
    • \(C(12, 10)\) et \(D\left(10, \frac{28}{3}\right)\).
  4. Calcul de l’aire du rectangle :
    • Aire = 72 unités carrées.
  5. Caractéristiques de la droite \(AB\) :
    • Pente : \(m = -\frac{3}{5}\).
    • Ordonnée à l’origine : \(p = 10\).
    • Équation : \(y = -\frac{3}{5}x + 10\).

Ce résumé couvre les principales étapes et résultats de l’exercice de géométrie analytique.

Corrigé détaillé

Correction détaillée de l’exercice

Nous allons résoudre chacune des questions posées étape par étape.

Question principale

Placer dans un même système d’axes les points \(A(10 ; 4)\) et \(B(0 ; 10)\).

Avant de répondre aux questions spécifiques, commençons par placer les points \(A\) et \(B\) dans un système de coordonnées cartésiennes.

Système de coordonnées
Placement des points
  1. Point \(A(10 ; 4)\) :
    • Abscisse : 10 unités à droite de l’origine.
    • Ordonnée : 4 unités au-dessus de l’origine.
    • On place le point \(A\) à la position \((10, 4)\).
  2. Point \(B(0 ; 10)\) :
    • Abscisse : 0, ce qui signifie qu’il est sur l’axe des ordonnées.
    • Ordonnée : 10 unités au-dessus de l’origine.
    • On place le point \(B\) à la position \((0, 10)\).

Plan Cartésien Schéma illustrant les points \(A\) et \(B\) dans le plan cartésien.


1. Tracer la droite \(d\) d’équation \(y = \frac{1}{3}x + 6\)

Pour tracer la droite \(d\), nous allons utiliser son équation de la forme \(y = mx + p\), où : - \(m\) est la pente de la droite. - \(p\) est l’ordonnée à l’origine (le point où la droite coupe l’axe des ordonnées).

Étapes pour tracer la droite \(d\) :
  1. Identifier la pente et l’ordonnée à l’origine :
    • Pente \(m = \frac{1}{3}\).
    • Ordonnée à l’origine \(p = 6\).
  2. Placer le point d’intersection avec l’axe des ordonnées :
    • Lorsque \(x = 0\), \(y = 6\).
    • On place le point \(D'(0, 6)\) sur l’axe des ordonnées.
  3. Utiliser la pente pour trouver un autre point :
    • La pente \(\frac{1}{3}\) signifie que pour chaque augmentation de 3 unités en \(x\), \(y\) augmente de 1 unité.
    • À partir de \(D'(0, 6)\), augmenter \(x\) de 3 unités :
      • \(x = 0 + 3 = 3\)
      • \(y = 6 + 1 = 7\)
    • On place le point \(E(3, 7)\).
  4. Tracer la droite :
    • Relier les points \(D'(0, 6)\) et \(E(3, 7)\) avec une droite droite.
    • Étendre cette droite des deux côtés pour obtenir la droite \(d\).

Droite d Schéma avec la droite \(d\) tracée.


2. Déterminer graphiquement les coordonnées des sommets \(C\) et \(D\) du rectangle \(ABCD\), sachant que \(C\) est sur la droite \(d\).

Nous devons déterminer les points \(C\) et \(D\) de manière à former un rectangle \(ABCD\) avec les points \(A\) et \(B\) déjà placés, et sachant que \(C\) se trouve sur la droite \(d\).

Propriétés d’un rectangle
Étapes pour déterminer \(C\) et \(D\) :
  1. Identifier la position de \(C\) sur la droite \(d\) :
    • \(C\) doit être tel que les côtés \(AB\) et \(CD\) soient parallèles.
    • De même, \(AD\) et \(BC\) doivent être parallèles.
  2. Tracer les côtés du rectangle :
    • À partir de \(A(10, 4)\), tracer une droite parallèle à l’axe des ordonnées (verticale) jusqu’à ce qu’elle rencontre la droite \(d\). Le point d’intersection sera \(D\).
    • À partir de \(B(0, 10)\), tracer une droite parallèle à l’axe des abscisses (horizontale) jusqu’à ce qu’elle rencontre la droite \(d\). Le point d’intersection sera \(C\).
  3. Déterminer les coordonnées de \(C\) et \(D\) graphiquement :
    • Par mesure, supposons que :
      • Coordonnées de \(C\) : \((x_C, y_C)\) sur \(d\).
      • Coordonnées de \(D\) : \((x_D, y_D)\) sur la verticale passant par \(A\), donc \(x_D = 10\).
  4. Lecture graphique :
    • En observant le graphe, supposons que :
      • \(C\) se trouve à l’intersection de la droite horizontale à \(y = 10\) (parallèle à \(BC\)) et de la droite \(d\).
      • Solvons pour \(y = 10\) dans l’équation de \(d\) : \[ 10 = \frac{1}{3}x + 6 \\ 10 - 6 = \frac{1}{3}x \\ 4 = \frac{1}{3}x \\ x = 12 \]
      • Ainsi, \(C(12, 10)\).
    • Pour \(D\), on sait que \(x_D = 10\). Utilisons l’équation de \(d\) pour trouver \(y_D\) : \[ y_D = \frac{1}{3}(10) + 6 = \frac{10}{3} + 6 = \frac{10 + 18}{3} = \frac{28}{3} \approx 9,33 \]
      • Donc, \(D\left(10, \frac{28}{3}\right)\).
Résumé des coordonnées :

3. Effectuer les mesures nécessaires et calculer l’aire du rectangle \(ABCD\).

Pour calculer l’aire du rectangle \(ABCD\), nous avons besoin de connaître la longueur de ses côtés.

Calcul des longueurs des côtés
  1. Longueur \(AB\) :

    • \(A(10, 4)\) et \(B(0, 10)\).
    • Utilisons la formule de distance : \[ AB = \sqrt{(x_B - x_A)^2 + (y_B - y_A)^2} = \sqrt{(0 - 10)^2 + (10 - 4)^2} = \sqrt{100 + 36} = \sqrt{136} \approx 11,66 \text{ unités} \]
    • Cependant, puisque nous travaillons avec un rectangle, il est plus simple de trouver les longueurs des côtés adjacents.
  2. Longueur \(AD\) :

    • \(A(10, 4)\) et \(D\left(10, \frac{28}{3}\right)\).
    • Comme les deux points ont la même abscisse, la longueur est la différence des ordonnées : \[ AD = \left| y_D - y_A \right| = \left| \frac{28}{3} - 4 \right| = \left| \frac{28}{3} - \frac{12}{3} \right| = \frac{16}{3} \approx 5,33 \text{ unités} \]
  3. Longueur \(AB\) (base) :

    • Comme déjà calculé, mais pour simplifier, utilisons les différences d’abscisses et d’ordonnées : \[ AB_{\text{base}} = \left| x_A - x_B \right| = \left| 10 - 0 \right| = 10 \text{ unités} \]
    • Note : En réalité, \(AB\) n’est pas parallèle aux axes, mais pour l’aire d’un rectangle, nous avons besoin des côtés parallèles aux axes. Dans notre cas, les côtés parallèles aux axes sont \(AD\) et \(AB_{\text{horizontal}} = x_C - x_A = 12 - 10 = 2\) unités, mais cela ne correspond pas à la configuration décrite. Il semble y avoir une confusion dans la détermination des côtés.

    Reprenons :

    • Largeur du rectangle : différence des abscisses entre \(C\) et \(B\) (ou \(A\) et \(D\)). \[ \text{Largeur} = x_C - x_B = 12 - 0 = 12 \text{ unités} \]
    • Hauteur du rectangle : différence des ordonnées entre \(B\) et \(A\). \[ \text{Hauteur} = y_B - y_A = 10 - 4 = 6 \text{ unités} \]
  4. Calcul de l’aire : \[ \text{Aire} = \text{Largeur} \times \text{Hauteur} = 12 \times 6 = 72 \text{ unités carrées} \]

Résultat

L’aire du rectangle \(ABCD\) est de 72 unités carrées.


4. Déterminer la pente, l’ordonnée à l’origine et l’équation de la droite \(AB\).

Pour déterminer les caractéristiques de la droite passant par les points \(A\) et \(B\), suivons les étapes suivantes.

1. Calcul de la pente \(m\)

La pente \(m\) d’une droite passant par deux points \((x_1, y_1)\) et \((x_2, y_2)\) se calcule par : \[ m = \frac{y_2 - y_1}{x_2 - x_1} \]

Appliquons cette formule pour les points \(A(10, 4)\) et \(B(0, 10)\) : \[ m = \frac{10 - 4}{0 - 10} = \frac{6}{-10} = -\frac{3}{5} \]

2. Calcul de l’ordonnée à l’origine \(p\)

L’équation d’une droite s’écrit généralement \(y = mx + p\).

Nous connaissons : - La pente \(m = -\frac{3}{5}\). - Un point par lequel passe la droite, par exemple \(B(0, 10)\). Comme \(B\) est à \(x = 0\), l’ordonnée à l’origine est directement \(y = 10\).

En effet, lorsque \(x = 0\) : \[ y = m \times 0 + p \Rightarrow 10 = p \]

Donc, \(p = 10\).

3. Équation de la droite \(AB\)

En utilisant la pente et l’ordonnée à l’origine calculées : \[ y = -\frac{3}{5}x + 10 \]

Résumé

Conclusion

Nous avons résolu chaque partie de l’exercice en suivant une démarche méthodique :

  1. Placement des points dans le plan cartésien.
  2. Tracé de la droite \(d\) en utilisant son équation.
  3. Détermination des sommets du rectangle et calcul de son aire.
  4. Calcul de la pente, de l’ordonnée à l’origine et formulation de l’équation de la droite \(AB\).

Ces étapes illustrent les principes fondamentaux de la géométrie analytique, essentiels pour comprendre et résoudre des problèmes similaires.

En haut

Acceptez-vous que toute votre activité sur le site soit enregistrée à des fins d'amélioration et que des données soient stockées sur votre appareil (cookies) ?


Fermer