Exercice 1

Représentez dans un même système d’axes :

  1. Donnez la pente, l’ordonnée à l’origine et l’équation de chacune des droites \(d_{1}\) et \(d_{2}\).
  2. Calculez l’aire du triangle \(ABC\).

Réponse

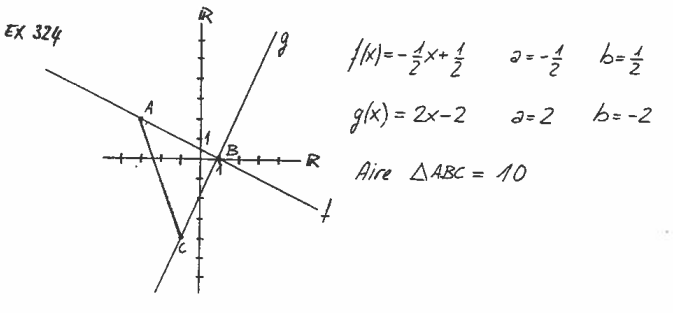
image-20250306152505240

Nous avons déterminé que :

  1. Droite \(d_{1}\) :
    • Pente : \(-\frac{1}{2}\)
    • Ordonnée à l’origine : \(\frac{1}{2}\)
    • Équation : \(y = -\frac{1}{2}x + \frac{1}{2}\)
  2. Droite \(d_{2}\) (perpendiculaire à \(d_{1}\)) :
    • Pente : \(2\)
    • Ordonnée à l’origine : \(-2\)
    • Équation : \(y = 2x - 2\)
  3. Aire du triangle \(ABC\) : 10 unités carrées.

Corrigé détaillé

Correction de l’exercice

Nous allons résoudre cet exercice en deux parties :

  1. Détermination des pentes, des ordonnées à l’origine et des équations des droites \(d_{1}\) et \(d_{2}\).
  2. Calcul de l’aire du triangle \(ABC\).

1. Pente, Ordonnée à l’origine et Équation des Droites \(d_{1}\) et \(d_{2}\)

a. Droite \(d_{1}\) passant par les points \(A(-3 ; 2)\) et \(B(1 ; 0)\)

Étape 1 : Calcul de la pente \(m_{1}\) de \(d_{1}\)

La pente d’une droite passant par deux points \((x_{A}, y_{A})\) et \((x_{B}, y_{B})\) est donnée par la formule :

\[ m = \frac{y_{B} - y_{A}}{x_{B} - x_{A}} \]

Appliquons-la aux points \(A(-3 ; 2)\) et \(B(1 ; 0)\) :

\[ m_{1} = \frac{0 - 2}{1 - (-3)} = \frac{-2}{4} = -\frac{1}{2} \]

Étape 2 : Détermination de l’ordonnée à l’origine \(b_{1}\) de \(d_{1}\)

L’équation d’une droite est de la forme :

\[ y = m x + b \]

Nous connaissons le point \(B(1 ; 0)\) sur la droite \(d_{1}\). Substituons ces valeurs dans l’équation pour trouver \(b_{1}\) :

\[ 0 = -\frac{1}{2} \times 1 + b_{1} \\ 0 = -\frac{1}{2} + b_{1} \\ b_{1} = \frac{1}{2} \]

Étape 3 : Écriture de l’équation de la droite \(d_{1}\)

Ainsi, l’équation de \(d_{1}\) est :

\[ y = -\frac{1}{2}x + \frac{1}{2} \]

b. Droite \(d_{2}\) perpendiculaire à \(d_{1}\) et dont l’ordonnée à l’origine est \(-2\)

Étape 1 : Calcul de la pente \(m_{2}\) de \(d_{2}\)

Deux droites sont perpendiculaires si le produit de leurs pentes est égal à \(-1\) :

\[ m_{1} \times m_{2} = -1 \]

Nous savons que \(m_{1} = -\frac{1}{2}\), donc :

\[ -\frac{1}{2} \times m_{2} = -1 \\ m_{2} = 2 \]

Étape 2 : Détermination de l’ordonnée à l’origine \(b_{2}\) de \(d_{2}\)

D’après l’énoncé, \(d_{2}\) a une ordonnée à l’origine de \(-2\). Ainsi :

\[ b_{2} = -2 \]

Étape 3 : Écriture de l’équation de la droite \(d_{2}\)

Donc, l’équation de \(d_{2}\) est :

\[ y = 2x - 2 \]

Résumons les résultats :


2. Calcul de l’aire du triangle \(ABC\)

Étape 1 : Repérage des points \(A(-3 ; 2)\), \(B(1 ; 0)\) et \(C(-1 ; -4)\) sur le plan

Pour calculer l’aire du triangle, nous pouvons utiliser la formule basée sur les coordonnées des sommets :

\[ Aire = \frac{1}{2} \left| x_{A}(y_{B} - y_{C}) + x_{B}(y_{C} - y_{A}) + x_{C}(y_{A} - y_{B}) \right| \]

Étape 2 : Application de la formule

Substituons les coordonnées des points \(A(-3 ; 2)\), \(B(1 ; 0)\) et \(C(-1 ; -4)\) dans la formule :

\[ Aire = \frac{1}{2} \left| (-3)(0 - (-4)) + 1((-4) - 2) + (-1)(2 - 0) \right| \]

Calculons chaque terme :

\[ \begin{align*} & (-3)(0 - (-4)) = (-3)(4) = -12 \\ & 1((-4) - 2) = 1(-6) = -6 \\ & (-1)(2 - 0) = (-1)(2) = -2 \\ \end{align*} \]

Additionnons ces résultats :

\[ -12 - 6 - 2 = -20 \]

Prenons la valeur absolue et multiplions par \(\frac{1}{2}\) :

\[ Aire = \frac{1}{2} \times | -20 | = \frac{1}{2} \times 20 = 10 \]

Résultat

L’aire du triangle \(ABC\) est de 10 unités carrées.


Conclusion

Nous avons déterminé les caractéristiques des droites \(d_{1}\) et \(d_{2}\) ainsi que l’aire du triangle \(ABC\) en appliquant les formules de la géométrie analytique. Ces méthodes sont essentielles pour résoudre divers problèmes de géométrie en utilisant les coordonnées des points.

En haut

Acceptez-vous que toute votre activité sur le site soit enregistrée à des fins d'amélioration et que des données soient stockées sur votre appareil (cookies) ?


Fermer