Exercice 46

Exercice

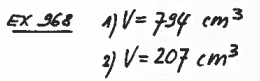
Calculer le volume de chacun des solides représentés ci-dessous :

Les dimensions sont : \[ \begin{aligned} a &= 9 \text{ cm} \\ b &= 5 \text{ cm} \\ c &= 3 \text{ cm} \\ d &= 2 \text{ cm} \end{aligned} \]

Réponse

image-20250327132226846
En haut

Acceptez-vous que toute votre activité sur le site soit enregistrée à des fins d'amélioration et que des données soient stockées sur votre appareil (cookies) ?


Fermer