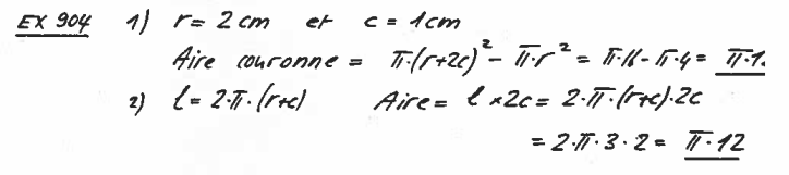
Une couronne est la surface délimitée par deux cercles concentriques.
Donner une formule qui exprime l’aire de la couronne ombrée.
Démontrer que cette aire s’exprime aussi par la formule \[ \text{Aire} = 2c, \] où \(c\) représente la longueur du cercle pointillé de rayon \(r + c\).
