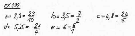
Exercice 114

Exprimez les nombres suivants d’abord en écriture décimale, puis sous forme de fraction irréductible :

Réponse

image-20250327122824208
En haut

Acceptez-vous que toute votre activité sur le site soit enregistrée à des fins d'amélioration et que des données soient stockées sur votre appareil (cookies) ?


Fermer