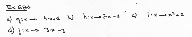
Exercice 23

Écrire l’expression algébrique des applications définies sur \(\mathbb{R}\) représentées ci-dessous :

  1. Pour \(g\) :

  2. Pour \(h\) :

  3. Pour \(i\) :

  4. Pour \(j\) :

Réponse

image-20250327124213248
En haut

Acceptez-vous que toute votre activité sur le site soit enregistrée à des fins d'amélioration et que des données soient stockées sur votre appareil (cookies) ?


Fermer